Watch skate videos, learn new tricks, discover street spots, and read stories from the global skateboarding community. New content daily.
Blog / Tags /
20 posts tagged with "for"
gewwe2
· 10/3/2026
Scaling Brands with CRO & High-Converting Landing Pages and Websites.
0
0.00
faizan-writes
· 23/2/2026
Crypto Explained Simply: A Beginner’s Guide for 2026
1
hairpiece
· 13/2/2026
Classic Hair Systems for Men- Provide a different look
rebe.torres12
· 11/2/2026
Virtual worlds for robotics
223
0.21
hassankhan123
· 9/2/2026
Shoes, Boots, Sandals and More – Affordable Prices with the Latest Styles
estheticfinds
· 3/2/2026
Skin Peeling Products for Face: A Complete Guide to Radiant, Youthful Skin
2
softwareco
· 28/1/2026
Investment with machine learning
High Frequency Wand for Hair: How It Works, Benefits & Why Professionals Trust This Technology
3
· 23/1/2026
Buying Hair pieces for Men Online- change your look regularly
caelum1infernum
Ship For Sale Sabah Malaysia. MALAY/ENGLISH
39
0.16
· 19/1/2026
Hanoi MH
alucian
· 29/12/2025
LEARN VIBE CODE FROM THE MASTERS!!! SHARED SHORT DOCUMENT:
4
0.04
· 25/12/2025
How To Buy Toupee for Men Online
· 28/11/2025
"Build more and more to have more for tomorrow." SCHLUSS------ Ab hier, nur neue Programme in die Blockchain geschrieben!
0.07
heritageurns
Helpful Advice on Choosing Where to Buy Urns for Ashes
acidyo
· 26/11/2025
I wanna restart this community
339
22.55
andyrobert
· 19/11/2025
Top Benefits of Microneedling in Fort Lauderdale, FL
satoshithrill
· 12/11/2025
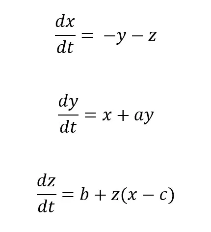
Python and Physics: Runge-Kutta Method
· 8/11/2025
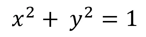
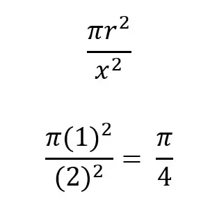
Python and Physics: Estimating Pi
· 7/11/2025
A Complete Guide to Selecting the Best Potting Compound for Electronics